bat365正版唯一官网
设为首页
|
加入收藏
首页
思想教育
思想政治教育
团学干部培训
组织建设
团委简介
组织架构
联系方式
五星红旗部创建
校园文化
学生组织
院学生会
社团联合会
青年志愿者协会
绿色环保志愿者协会
院团委
大学生艺术团
院礼仪队
艺彩艺术协会
团委发文
团省委发文
学院团委发文
下载中心
联系我们
团省委发文
学院团委发文
联系我们
- Contact us
学院团委发文
当前位置:
首页
>
团委发文
>
学院团委发文
>
正文
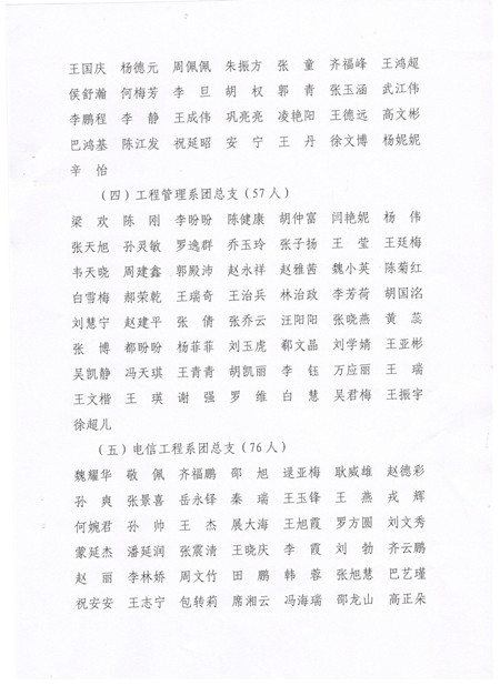
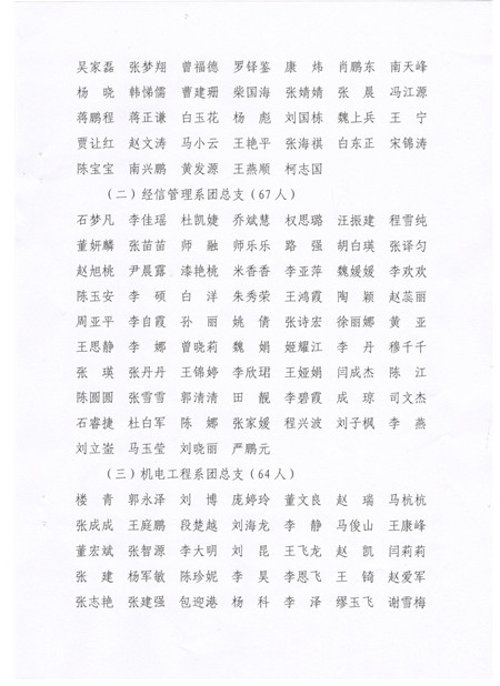
兰州交通大学博文学院关于2019年“优秀共青团院、优秀共青团干、优秀先进团支部”评选表彰结果的通知
2020-06-16